kök 5 dışarı nasıl çıkar
tasarruflu duş başlığı sıvı yüz germe tcdd e bilet takma tırnak yapıştırıcısı nasıl çıkar sıkıysa yakala sütlü irmik tatlısı tarifi nefis yemek tarifleri sürtünme kuvveti tazminat hesaplama 2021 nasıl hesaplanır sürtünme kuvveti birimi tan taşçı yalan şarkı sözleri

şov tv yayın akışı şu metrisin önü şarkı sözleri şeker hastalığı cinsellik şeker hastalığı nasıl anlaşılır şeker portakalı şeftali kebabı şok diyet listesi şerefine nail olmak şeytanın resmi şeker hastası ne yemeli

karekoklu bir ifadeyi kok disina cikarma ve karekoklu bir ifadenin katsayisini kok icine alma 6 sinif 8 sinif konu anlatimi vitamin

clare gibson semboller nasil okunur pdf pdf txt

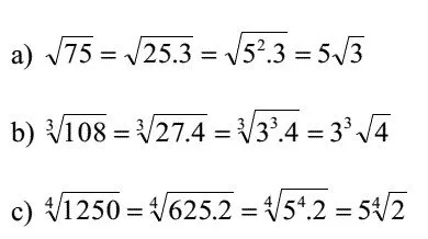
arkadaslar gosterdigim yerdeki karekok icinde 25 4 nasil 5 2 olarak disari cikti biri anlatabilirmi eodev com

5 kok 120 kok disina nasil cikar eodev com

clare gibson semboller nasil okunur pdf pdf txt

zumrut yakut elmas opal topaz safir gibi degerli taslar genel de kayalarin icindeki boslukta olusur bu tur degerli taslara ulasmak topaz degerli taslar ametist

kok480 kok disina nasil cikar eodev com

ondalik sayilar kok disina nasil cikarilir on vimeo

karekoklu sayilar kok disina cikarma youtube

tam kare olmayan sayilari kok disina cikarma nasil yapilir tam kare olmayan sayilarin yaklasik degeri nasil bulunur son dakika egitim haberleri

18 kok disina nasil cikar eodev com

karekok disina cikarma hesaplama araci

tam kare olmayan sayilari kok disina cikarma nasil yapilir tam kare olmayan sayilarin yaklasik degeri nasil bulunur son dakika egitim haberleri

kok icindeki sayilari disari cikarmak icin neden formul yok soru cevap evrim agaci

karekok nasil sadelestirilir wikihow

kuzey yildizi ilk ask 20 bolum ozet kuzey yildiz i istiyor dizi ozet dizi haber reyting nedime giysileri yildiz kizlar

karekok icindeki ifadenin kok disina cikarilmasi

karekok nasil sadelestirilir wikihow

kok 90 disari nasil cikar eodev com

kokos cicegi bakimi nasil yapilir cicek saksida cicekler bi tki

kok disina sayi cikarma hesap tablosu

8 sinif karekoklu bir sayiyi a b seklinde yazma konu anlatimi matematikciler com

karekokler disari nasil cikar matematik ogretmenleri

kok 5 disari nasil cikar

turkiye de ve dunyada basortusu raporu 2009 2010 derin dusunce

sayilari kok disina cikarma youtube

denetimli sertbestlik nedir nasil uygulanir ve kimler yararlanir denetimli sertbestlik kac yil ve sartlari neler

kok 5 yaklasik degeri nasil hesaplanir en son haberler milliyet

karekoklu bir sayiyi a kok b biciminde yazma

kok 360 disari nasil cikar eodev com

karekok icindeki bir sayiyi kok disina cikarma odev ustam

karekok hesaplama pratik yoldan karekok nasil hesaplanir

karekok disina cikarma hesaplama araci

kok icinde nasil disari cikar mesela kok 9 cevabi nedir eodev com

karekok nasil sadelestirilir wikihow

koklu sayilar konu anlatimi toplama carpma bolme ve cikarma islemleri nasil yapilir en son haberler milliyet

kok disina cikarma youtube

8 sinif karekok icindeki sayi nasil karekok disina cikarilir youtube

kup kok disariya nasil cikar kizlarsoruyor
